
lessons learned from the Ultraviolet Near-Infrared Optical Northern Survey (UNIONS)
S. Guerrini, 08/10/2025, RHUL
Credit: NAOJ
\[\begin{align} \left. \begin{array}{cc} H_0 & \text{Expansion rate}\\ \Omega_m & \text{Matter density}\\ \Omega_b & \text{Baryon density}\\ \sigma_8 & \text{Clumpiness}\\ w & \text{EoS of dark energy} \end{array} \right\} \text{Constrained using Bayesian inference} \end{align}\]
S. Guerrini, 08/10/2025, RHUL

S. Guerrini, 08/10/2025, RHUL
Credit: RAS
S. Guerrini, 08/10/2025, RHUL
Credit: ESA
S. Guerrini, 08/10/2025, RHUL
S. Guerrini, 08/10/2025, RHUL

Technical specifications of UNIONS:
S. Guerrini, 08/10/2025, RHUL
Credit: S. Farrens
S. Guerrini, 08/10/2025, RHUL


S. Guerrini, 08/10/2025, RHUL


S. Guerrini, 08/10/2025, RHUL
PSF error model: \(\delta \boldsymbol{e}^\mathrm{sys}_\mathrm{PSF} = \alpha \underbrace{\boldsymbol{e}_\mathrm{PSF}}_{\text{Leakage}} + \beta \underbrace{(\boldsymbol{e}_* - \boldsymbol{e}_\mathrm{PSF})}_{\text{Ellipticity error}} + \eta \underbrace{\boldsymbol{e}_\mathrm{PSF} \left(\frac{T_* - T_\mathrm{PSF}}{T_*} \right)}_{\text{Size error}}\). \(\alpha\), \(\beta\) and \(\eta\) free parameters.
\[\begin{equation} \left( \begin{array}{l} \tau_{0,1} \\ \tau_{2,1} \\ \tau_{5, 1} \\ \vdots \\ \tau_{0, n} \\ \tau_{2, n} \\ \tau_{5, n} \end{array} \right) = \left( \begin{array}{llllll} \rho_{0, 1} & \rho_{2, 1} & \rho_{5, 1} \\ \rho_{2, 1} & \rho_{1, 1} & \rho_{4, 1} \\ \rho_{5, 1} & \rho_{4, 1} & \rho_{3, 1} \\ & \ddots & \\ \rho_{0, n} & \rho_{2, n} & \rho_{5, n} \\ \rho_{2, n} & \rho_{1, n} & \rho_{4, n} \\ \rho_{5, n} & \rho_{4, n} & \rho_{3, n} \\ \end{array} \right) \left( \begin{array}{l} \alpha \\ \beta \\ \eta \\ \end{array} \right) \label{eq:tau_matrix} \end{equation}\]
Systematic error: \(\xi^\mathrm{sys}_\mathrm{PSF} = \alpha^2 \rho_0 + \beta^2 \rho_1 + \eta^2 \rho_3 + 2 \alpha \beta \rho_2 + 2 \alpha \eta \rho_5 + 2 \beta \eta \rho_4\)
S. Guerrini, 08/10/2025, RHUL
Analytical: based on analytical expressions of the covariance
Semi: No theoretical predictions of the \(\rho\)- and \(\tau\)-statistics. Use measurements on data.
S. Guerrini, 08/10/2025, RHUL
S. Guerrini, 08/10/2025, RHUL
Can provide priors for cosmological analysis!
S. Guerrini, 08/10/2025, RHUL
S. Guerrini, 08/10/2025, RHUL
S. Guerrini, 08/10/2025, RHUL


S. Guerrini, 08/10/2025, RHUL
Spin-2 shear fields can be decomposed into E-modes, containing the vast majority of lensing information, and B-modes, which are a probe of systematics at UNIONS noise levels.
In the presence of masking, some ambiguous modes usually cannot be cleanly attributed to E or B.
We use three B-mode approaches: pure correlation functions, COSEBIS, and pseudo-\(C_\ell\).

S. Guerrini, 08/10/2025, RHUL
\[ \xi_+^{E/B}(\vartheta) = \frac 1 2 \left[\xi_+(\vartheta) \pm \xi_-(\vartheta) + \int_\vartheta^{\vartheta_\mathrm{max}}\frac{\mathrm{d}\theta}{\theta} \xi_-(\theta) \left(4 - \frac{12\vartheta^2}{\theta^2} \right) \right] - \frac 1 2 \underbrace{[S_+(\vartheta) \pm S_-(\vartheta)]}_{\text{Integrals of $\xi_\pm$ with filter functions}} \]

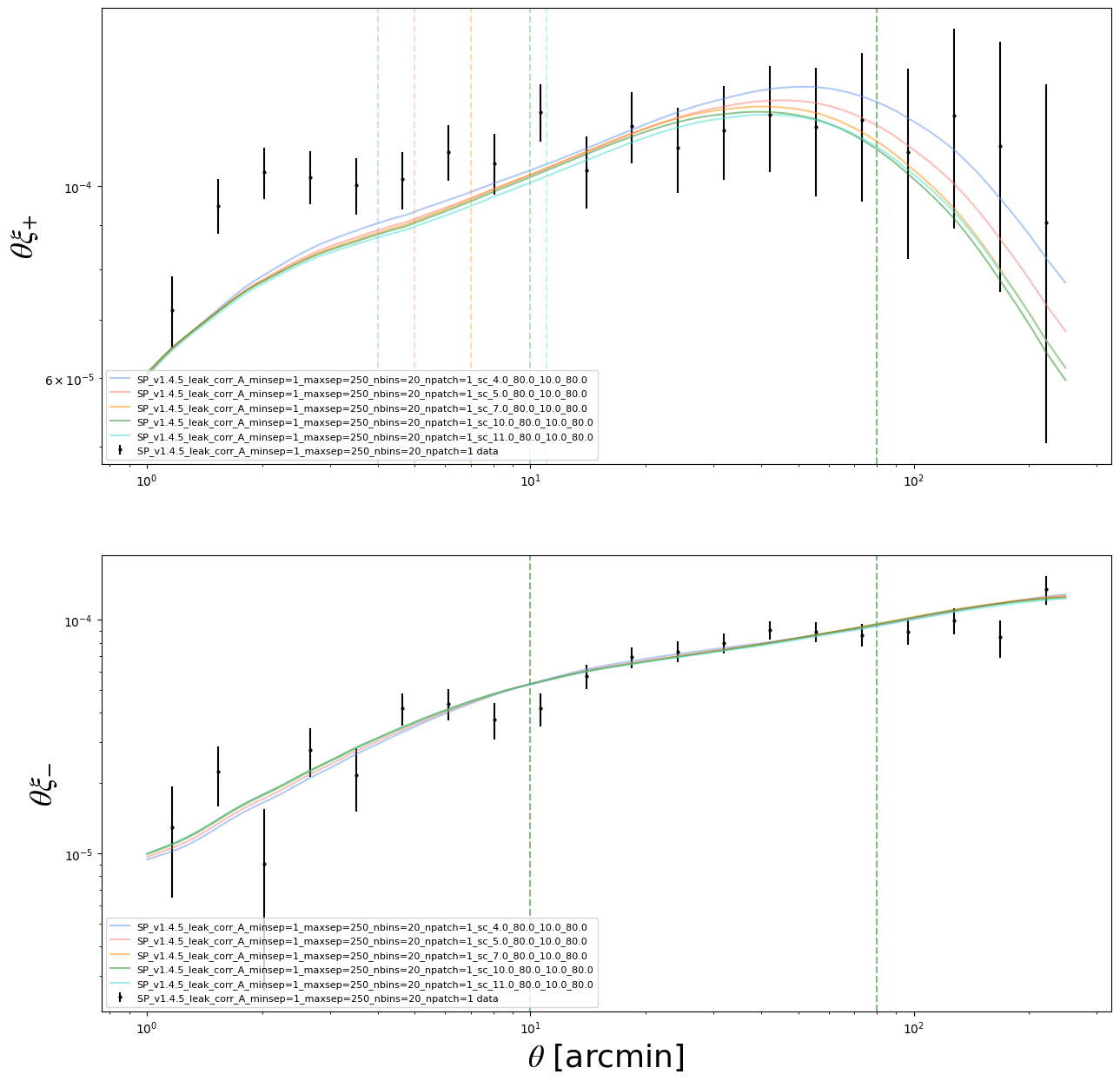
B-modes on small scale (\(\sim 3'\) in \(\xi_+\) and \(\sim 30'\) in \(\xi_-\)); large scales are ok.
S. Guerrini, 08/10/2025, RHUL
Pure functions and COSEBIS tell the same story.
S. Guerrini, 08/10/2025, RHUL

B-modes on the smallest scales. Lower significance after removing the smallest objects from the catalogue. Data points and errorbars obtained with NaMaster.
S. Guerrini, 08/10/2025, RHUL
Redshift distribution estimated using self-organizing map (SOMs).
Three blinded reshift distribution produced to avoid confirmation bias. We make analysis choices given the output on the three blinds.

S. Guerrini, 08/10/2025, RHUL

Covariance estimated with CosmoCov and validated against data-drive jackknife and GLASS simulations (not shown here).
Parameters marginalized over in inference:
S. Guerrini, 08/10/2025, RHUL

Gaussian covariance accounting for mask mode-coupling with iNKA (Namaster). Validation against OneCovariance (theory code) and GLASS mocks.
Agreement between the error bars at the \(10\%\) level
S. Guerrini, 08/10/2025, RHUL
Real space \(\xi_\pm(\vartheta)\)

Harmonic space \(C_\ell\)

\(\sim 2\times\) larger than DES, KiDS or HSC.
Non-tomographic analysis significantly reduces constraining power.
S. Guerrini, 08/10/2025, RHUL

S. Guerrini, 08/10/2025, RHUL
The overdensity field is not a Gaussian field at late times.
How can we capture the more information from the shear field?
Craft summary statistics that capture non-Gaussian information from the field.
S. Guerrini, 08/10/2025, RHUL
\[ p(\theta | x) \propto \underbrace{p(x|\theta)}_\text{Likelihood} p(\theta) \]
S. Guerrini, 08/10/2025, RHUL
S. Guerrini, 08/10/2025, RHUL
Apply several layers of a one-to-one map to simple distribution to match a more complex one.
Alleviates the problem of the unknown likelihood.

S. Guerrini, 08/10/2025, RHUL
Available on GitHub
S. Guerrini, 08/10/2025, RHUL
S. Guerrini, 08/10/2025, RHUL
checkpoint_path = ... #Choose the checkpoint path
checkpoint_path = os.path.abspath(checkpoint_path) #Beware, this should be an absolute path.
compressor = Compressor(
model_class=model_class,
model_hparams=model_hparams,
)
compressor = compressor.append_simulations(theta=theta, x=x)
metrics, MSE_compression_function = compressor.train(
checkpoint_path=checkpoint_path
)
inference = NPE()
inference = inference.append_simulations(theta, x)
metrics, density_estimator = inference.train(
checkpoint_path=checkpoint_path,
)S. Guerrini, 08/10/2025, RHUL
Cosmological parameters: \(A_\mathrm{s}\), \(n_\mathrm{s}\), \(f_\mathrm{NL}\)
Go here for more
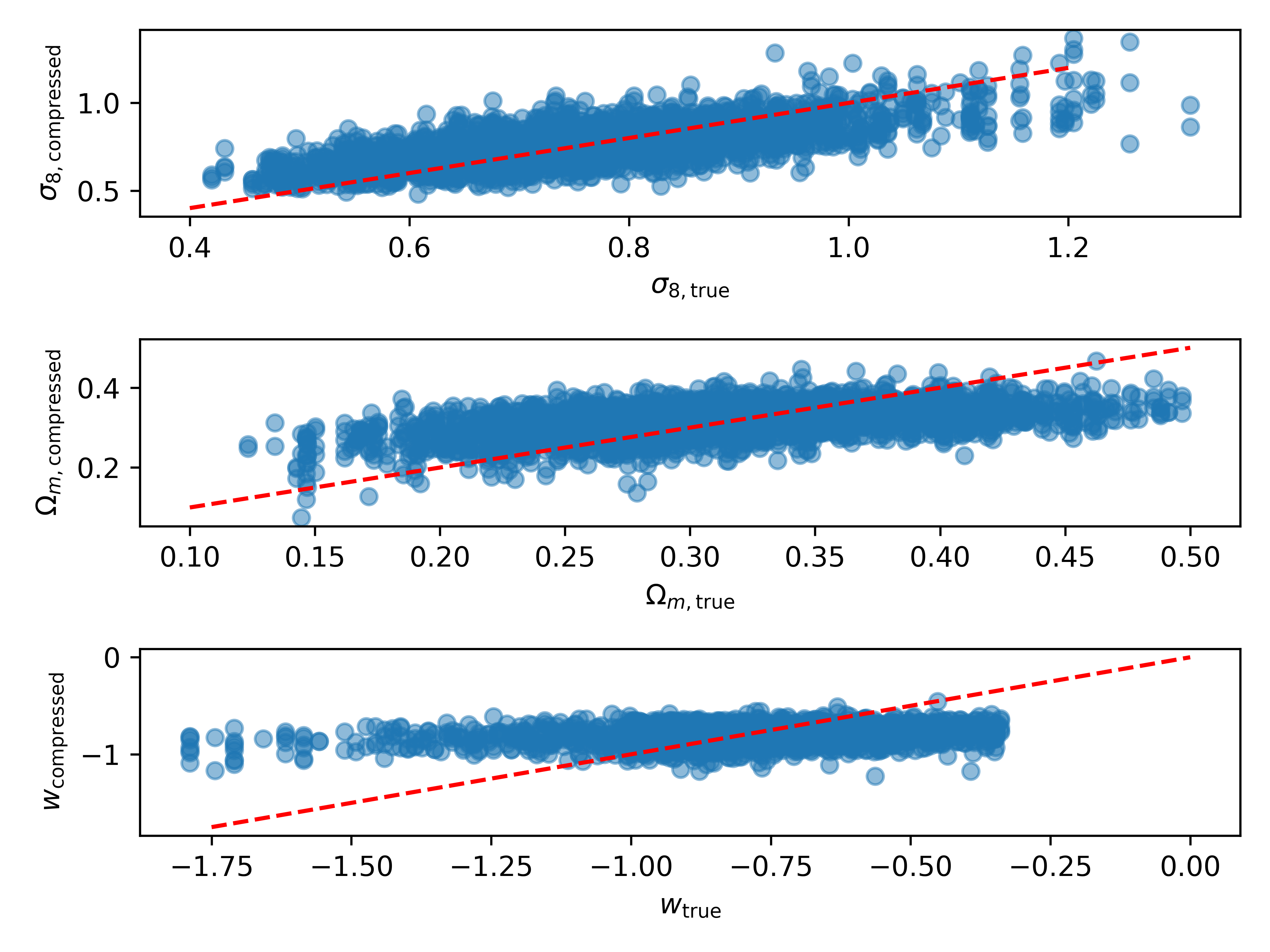
Goal: Obtain constraints on the cosmological parameters using pixel level information.
S. Guerrini, 08/10/2025, RHUL
Cosmological parameters: \(A_\mathrm{s}\), \(n_\mathrm{s}\), \(f_\mathrm{NL}\)

S. Guerrini, 08/10/2025, RHUL

Simulation of realistic redshift distributions using Normalizing Flow.
\(p(z_\mathrm{noisy} | z_\mathrm{true}, \mathrm{Flux})\) infered with Neural Posterior Esimation
S. Guerrini, 08/10/2025, RHUL

S. Guerrini, 08/10/2025, RHUL


S. Guerrini, 08/10/2025, RHUL
S. Guerrini, 08/10/2025, RHUL
S. Guerrini, 08/10/2025, RHUL
Credit: F. Hervas Peters
S. Guerrini, 08/10/2025, RHUL
S. Guerrini, 08/10/2025, RHUL
S. Guerrini, 08/10/2025, RHUL
S. Guerrini, 08/10/2025, RHUL
S. Guerrini, 08/10/2025, RHUL


