
UNIONS-3500 Weak Lensing, Rencontres de Moriond 2026, La Thuile
on behalf of the UNIONS collaboration
March 27, 2026
Sacha Guerrini | Rencontres de Moriond 2026
Sacha Guerrini | Rencontres de Moriond 2026
Sacha Guerrini | Rencontres de Moriond 2026

Depth of the photometric bands (Gwyn et al., 2025)
FWHM in the \(r\)-band: \(\sim 0.7"\) (DES: \(\sim 0.98"\))

Sacha Guerrini | Rencontres de Moriond 2026

Sacha Guerrini | Rencontres de Moriond 2026

Technical specifications of UNIONS:
Sacha Guerrini | Rencontres de Moriond 2026

Sacha Guerrini | Rencontres de Moriond 2026
3 steps of masking:

Only keep \(\sim 25 \%\) of the detected objects. Reduces the \(3,500 \textrm{deg}^2\) imaging area to an effective footprint of \(2,894 \textrm{deg}^2\).
Sacha Guerrini | Rencontres de Moriond 2026
Last two selections applied in Metacalibration (Huff & Mandelbaum, 2017) to determine the selection bias.

Sacha Guerrini | Rencontres de Moriond 2026

Sacha Guerrini | Rencontres de Moriond 2026


Sacha Guerrini | Rencontres de Moriond 2026
Point spread function (PSF) error model: \(\delta \boldsymbol{e}^\mathrm{sys}_\mathrm{PSF} = \alpha \underbrace{\boldsymbol{e}_\mathrm{PSF}}_{\text{Leakage}} + \beta \underbrace{(\boldsymbol{e}_* - \boldsymbol{e}_\mathrm{PSF})}_{\text{Ellipticity error}} + \eta \underbrace{\boldsymbol{e}_\mathrm{PSF} \left(\frac{T_* - T_\mathrm{PSF}}{T_*} \right)}_{\text{Size error}}\).
\(\alpha\), \(\beta\) and \(\eta\) free parameters.
Estimate leakage in bins of size ratio and SNR doing linear regressions.
Subtract the contribution in each objects ellipticity from PSF leakage.

Sacha Guerrini | Rencontres de Moriond 2026
Galaxy-Star correlations: \(\tau_0(\vartheta) = \langle e^\mathrm{obs} e^\mathrm{PSF} \rangle(\vartheta)\), \(\tau_2(\vartheta) = \langle e^\mathrm{obs} \delta e^\mathrm{PSF} \rangle(\vartheta)\), \(\tau_5(\vartheta) = \langle e^\mathrm{obs} \delta T^\mathrm{PSF} \rangle(\vartheta)\)
Sacha Guerrini | Rencontres de Moriond 2026
Galaxy-PSF correlation helps to:

\[ \xi_\mathrm{sys}(\vartheta) = \alpha \tau_0(\vartheta) + \beta \tau_2(\vartheta) + \eta \tau_5(\vartheta) \]
Sacha Guerrini | Rencontres de Moriond 2026


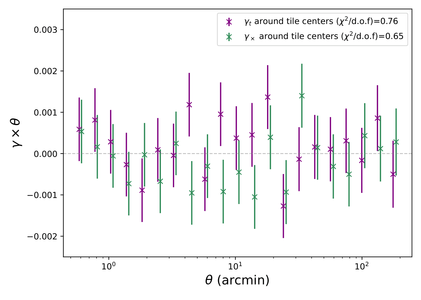
No significant correlation of shapes around CCD and tile centers.
Sacha Guerrini | Rencontres de Moriond 2026


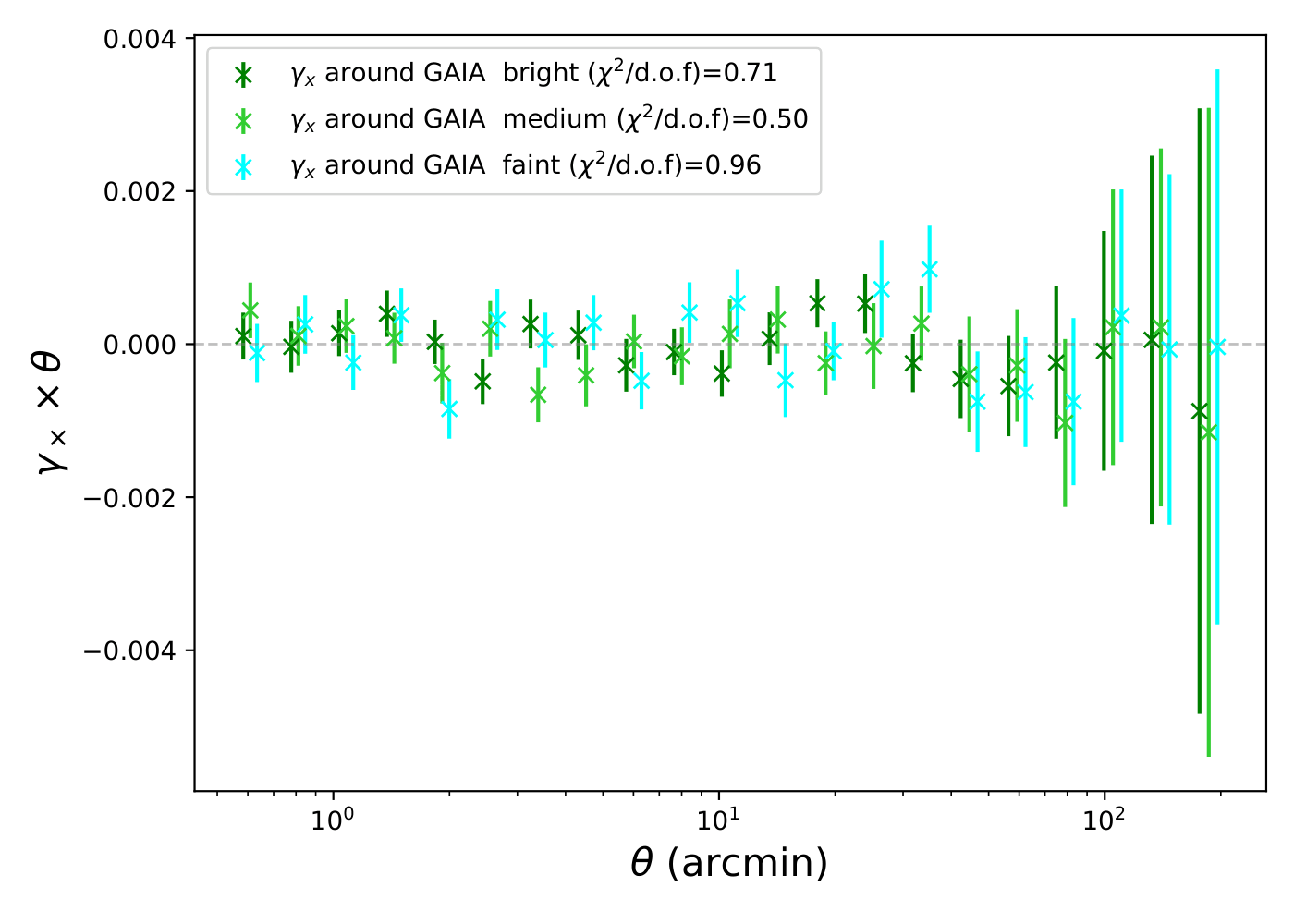
No significant correlation of shapes around Gaia stars.
Sacha Guerrini | Rencontres de Moriond 2026
Multiplicative bias origin:
Image simulations on a grid (left) and with realistic positions (right). Credit: F. Hervas-Peters
Sacha Guerrini | Rencontres de Moriond 2026
Sacha Guerrini | Rencontres de Moriond 2026

Sacha Guerrini | Rencontres de Moriond 2026
Sacha Guerrini | Rencontres de Moriond 2026

Sacha Guerrini | Rencontres de Moriond 2026
Sacha Guerrini | Rencontres de Moriond 2026


Sacha Guerrini | Rencontres de Moriond 2026

Sacha Guerrini | Rencontres de Moriond 2026
Sacha Guerrini | Rencontres de Moriond 2026
Sacha Guerrini | Rencontres de Moriond 2026
Sacha Guerrini | Rencontres de Moriond 2026

Sacha Guerrini | Rencontres de Moriond 2026

Sacha Guerrini | Rencontres de Moriond 2026


